[Solved] Calculus formula in Math
[Solved] Calculus formula in Math
new to open office and endeavouring to write out some equations command-reference sheet. trying to write out newtons equation for calculus and leibnitz
this is as far as it goes. putting closing brackets into it sends it upstairs. and suggestions most welcome
df over dt = lim from h toward 0 f func (t+h -f func (t all over h
this is as far as it goes. putting closing brackets into it sends it upstairs. and suggestions most welcome
df over dt = lim from h toward 0 f func (t+h -f func (t all over h
Last edited by Hagar Delest on Thu Aug 02, 2018 8:08 am, edited 1 time in total.
Reason: tagged solved
Reason: tagged solved
OpenOffice 4.1.5 on windows 10
Re: calculus formula in math
Welcome!
I don't feel sure, but probably you mean
To use the letter f at the same time meaning the function in one place and a variable taking the values returned by the function in a different place seems problematic to me.
You find links to a guide on top of the 'Math' branch of the forum.
I don't feel sure, but probably you mean
Code: Select all
func f'(t) = df over dt = lim from {h toward 0} {{func f(t+h)-func f(t)} over h}You find links to a guide on top of the 'Math' branch of the forum.
On Windows 10: LibreOffice 25.2.4 and older versions, PortableOpenOffice 4.1.7 and older, StarOffice 5.2
---
Lupp from München
---
Lupp from München
Re: Calculus formula in Math
thanks for prompt reply, I appreciate you spending time answering
defining func f'(t) at start works for sure. the explanation of the brackets is very helpful as well
still curious, but thinking problematic = not possible; to drop the first f(t) =, to leave it as df over dt =
Leibnitz will be turning in his grave to think Newton is all that works these days
as a further query, and given that u can't paste a png file into this, how would you tackle the equations from the chapter headings 7) and 11) from the book "17 equations that changed the world"
(the normal distribution and Maxwell's equations)
defining func f'(t) at start works for sure. the explanation of the brackets is very helpful as well
still curious, but thinking problematic = not possible; to drop the first f(t) =, to leave it as df over dt =
Leibnitz will be turning in his grave to think Newton is all that works these days
as a further query, and given that u can't paste a png file into this, how would you tackle the equations from the chapter headings 7) and 11) from the book "17 equations that changed the world"
(the normal distribution and Maxwell's equations)
OpenOffice 4.1.5 on windows 10
- MrProgrammer
- Moderator
- Posts: 5347
- Joined: Fri Jun 04, 2010 7:57 pm
- Location: Wisconsin, USA
Re: Calculus formula in Math
You expect volunteers to go look for them? I won't. You are more likely to get that answered if you provide (PNG image here) those equations.beta wrote:as a further query … how would you tackle the equations from the chapter headings 7) and 11) from the book "17 equations that changed the world"
Mr. Programmer
AOO 4.1.7 Build 9800, MacOS 13.7.6, iMac Intel. The locale for any menus or Calc formulas in my posts is English (USA).
AOO 4.1.7 Build 9800, MacOS 13.7.6, iMac Intel. The locale for any menus or Calc formulas in my posts is English (USA).
Re: Calculus formula in Math
Upload an image here, in PNG format, that shows what you are trying to achieve.explain that please...(PNG image here)
[Forum] How to attach a document here Note maximum file size is 128K. If your file is larger, use a file sharing site such as Mediafire and post the link here.
Slackware 15 64 bit
Apache OpenOffice 4.1.15
LibreOffice 25.8.2.2; SlackBuild for 25.8.2 by Eric Hameleers
---------------------
Tech support noun: A person who does precision guesswork based on unreliable data provided by those of questionable knowledge.
Apache OpenOffice 4.1.15
LibreOffice 25.8.2.2; SlackBuild for 25.8.2 by Eric Hameleers
---------------------
Tech support noun: A person who does precision guesswork based on unreliable data provided by those of questionable knowledge.
Re: Calculus formula in Math
thanks for the link. png was too large so have converted to jpg and hope the resolution is okay. if it isn't then I'll try the other route.
ultimately the quest is to write out all the 17 listed equations in openoffice and 7) and 11) are a bit of a stretch.
again, any suggestions are most welcome
ultimately the quest is to write out all the 17 listed equations in openoffice and 7) and 11) are a bit of a stretch.
again, any suggestions are most welcome
OpenOffice 4.1.5 on windows 10
Re: Calculus formula in Math
See this: https://math.stackexchange.com/question ... z-notation for a discussion of Newton vs Leibniz notations. In fact, Leibniz' notation is used most widely, but some of Newton's is used when that's easier.
LibreOffice 24.2.7.2 on Ubuntu Linux
If your problem has been solved or your question has been answered, please edit the first post in this thread and add [Solved] to the title bar.
Nederlandstalig forum
If your problem has been solved or your question has been answered, please edit the first post in this thread and add [Solved] to the title bar.
Nederlandstalig forum
Re: Calculus formula in Math
that's probally right as well, maybe should have posted "Leibnitz will be turning in his grave to think Newton is all that works these days in OpenOffice"
the next part of the saga is the normal distribution; managed so far:
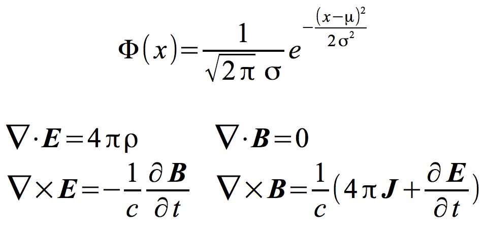
%PHI(x)=(1 over sqrt{2 %pi %sigma} )times e^(-(x-%upsilon)^2 over 2 %sigma ^2)
Would u know how to alter it to the same as equation 11) above in that attached? the problem is not getting the brackets to work
all comments appreciated
the next part of the saga is the normal distribution; managed so far:
%PHI(x)=(1 over sqrt{2 %pi %sigma} )times e^(-(x-%upsilon)^2 over 2 %sigma ^2)
Would u know how to alter it to the same as equation 11) above in that attached? the problem is not getting the brackets to work
all comments appreciated
OpenOffice 4.1.5 on windows 10
Re: Calculus formula in Math
Try %PHI(x)=(1 over sqrt{2 %pi %sigma} )times e^{{-(x-%upsilon)^2} over {2 %sigma ^2}}
Basically you have to nest the brackets - one outer pair for the expression in the exponent, then two inner pairs for numerator and denominator of that expression. It'd be great if there'd be a utility to spot wrong brackets like in for instance the Pascal code editor.
Basically you have to nest the brackets - one outer pair for the expression in the exponent, then two inner pairs for numerator and denominator of that expression. It'd be great if there'd be a utility to spot wrong brackets like in for instance the Pascal code editor.
LibreOffice 24.2.7.2 on Ubuntu Linux
If your problem has been solved or your question has been answered, please edit the first post in this thread and add [Solved] to the title bar.
Nederlandstalig forum
If your problem has been solved or your question has been answered, please edit the first post in this thread and add [Solved] to the title bar.
Nederlandstalig forum
Re: Calculus formula in Math
many thanks for your help
the next one with a problem is 10) Navier -Stokes. so far I've got something that kind of works but isn't pretty
%rho left ( stack {partial v} over {partial t} + v cdot size 16 nabla v right ) = - size 16 nabla %rho + size 16 nabla cdot T+f
the query is twofold:
1) how do u space the dot between " v cdot size 16 nabla " , like it is for the second " size 16 nabla cdot T "
2) can u remove the gaps between " nabla v " , and also " nabla %rho ", since they're meant to represent gradient, and should't have gaps
the question is open and all comments appreciated
the next one with a problem is 10) Navier -Stokes. so far I've got something that kind of works but isn't pretty
%rho left ( stack {partial v} over {partial t} + v cdot size 16 nabla v right ) = - size 16 nabla %rho + size 16 nabla cdot T+f
the query is twofold:
1) how do u space the dot between " v cdot size 16 nabla " , like it is for the second " size 16 nabla cdot T "
2) can u remove the gaps between " nabla v " , and also " nabla %rho ", since they're meant to represent gradient, and should't have gaps
the question is open and all comments appreciated
OpenOffice 4.1.5 on windows 10
- MrProgrammer
- Moderator
- Posts: 5347
- Joined: Fri Jun 04, 2010 7:57 pm
- Location: Wisconsin, USA
Re: Calculus formula in Math
Some of the equations in your attached picture are wrong! In the definition of a deriviative (3), the second equal sign should be removed. In the normal distribution the square root should not extend over the standard deviation. And the exponent is missing a negative sign. If a mathematician is writing the article, there is little excuse for errors like that and if not, Ian Stewart should have consulted with one or at least checked in standard reference books. In Maxwell's equations, terms are missing unless the charge density and current density are both zero. I've fixed the problems in 7 and 11. I didn't check the rest. What a mess!beta wrote:any suggestions are most welcome
%PHI(x)=1 over {sqrt{2 %pi} ` %sigma} e^-{{(x-%mu)^2} over {2 %sigma^2}}
newline newline
matrix {alignl nabla cdot bold E = 4 %pi %rho # alignl nabla cdot bold B = 0 ##
nabla times bold E = - {1 over c} {{partial bold B} over {partial t}} #
nabla times bold B =
{1 over c} (4 %pi bold J + {{partial bold E} over {partial t}})
}
For both: delete every occurence of "size 16".beta wrote:1) how do space the dot between " v cdot size 16 nabla " , like it is for the second " size 16 nabla cdot T "
2) can remove the gaps between " nabla v " , and also " nabla %rho ", since they're meant to represent gradient, and should't have gaps
If this solved your problem please go to your first post use the Edit button and add [Solved] to the start of the title. You can select the green checkmark icon at the same time.
Mr. Programmer
AOO 4.1.7 Build 9800, MacOS 13.7.6, iMac Intel. The locale for any menus or Calc formulas in my posts is English (USA).
AOO 4.1.7 Build 9800, MacOS 13.7.6, iMac Intel. The locale for any menus or Calc formulas in my posts is English (USA).
Re: Calculus formula in Math
thanks again for your prompt, if a touch arrogant, reply
it's good that you've taken time to investigate for sure. But you could, if you wanted, look a bit more into the detail instead of doing the parrot
the attached sheet does have typos - well spotted - but it doesn't look like you got the right ones
if you wanted to explore you'd probally find that the author of countless books on mathematics probally knows a wee bit more on the subject
still, thanks for your help
it is appeciated and I've learnt a bit more for your input and will use your tips
it's good that you've taken time to investigate for sure. But you could, if you wanted, look a bit more into the detail instead of doing the parrot
the attached sheet does have typos - well spotted - but it doesn't look like you got the right ones
if you wanted to explore you'd probally find that the author of countless books on mathematics probally knows a wee bit more on the subject
still, thanks for your help
it is appeciated and I've learnt a bit more for your input and will use your tips
OpenOffice 4.1.5 on windows 10
Re: Calculus formula in Math
Use .png pictures with 256 color (or less). You can optimize your screeshot pictures for this forum by the usage a trird party image manager software like the IrfanView. (You can reduce color depth size, resolution, and file type by some click without noticeable loss of quality. The .jpg will be blurry at a reduced resolution... )png was too large so have converted to jpg and hope the resolution is okay.
https://www.irfanview.com/
https://portableapps.com/apps/graphics_ ... w_portable
Tibor Kovacs, Hungary; LO7.5.8 /Win7-10 x64Prof.
PortableApps/winPenPack: LO3.3.0-7.6.2;AOO4.1.14
Please, edit the initial post in the topic: add the word [Solved] at the beginning of the subject line - if your problem has been solved.
PortableApps/winPenPack: LO3.3.0-7.6.2;AOO4.1.14
Please, edit the initial post in the topic: add the word [Solved] at the beginning of the subject line - if your problem has been solved.
Re: Calculus formula in Math
thanks for the tip on pasting
the list is complete on OpenOffice which is nice.
However, the request is still open
Some of it could be a bit neater. It's the gaps that are out of place, particularly for:
10) Navier-Stokes as listed below:
The dot-after-the v, needs a further space, while the gaps before the first and second nabla needs to be removed.
below is my attempt in OpenOffice
ps. and it's worth pointing out that the original list posted above was written by someone else paying respect to the author of the book by listing the equations along with the mathematician and date of discovery.
pps. the power went on the island of agistri a couple of days ago, and here's a poem
the list is complete on OpenOffice which is nice.
However, the request is still open
Some of it could be a bit neater. It's the gaps that are out of place, particularly for:
10) Navier-Stokes as listed below:
The dot-after-the v, needs a further space, while the gaps before the first and second nabla needs to be removed.
below is my attempt in OpenOffice
ps. and it's worth pointing out that the original list posted above was written by someone else paying respect to the author of the book by listing the equations along with the mathematician and date of discovery.
pps. the power went on the island of agistri a couple of days ago, and here's a poem
- Attachments
-
- 17 equations in text.pdf
- (85.08 KiB) Downloaded 1479 times
OpenOffice 4.1.5 on windows 10
Re: Calculus formula in Math
One trick that might help is to use the nospace modifier and insert narrow or wide spaces (` and ~) to control the spacing within your formula.
You haven't given your formula definition, so I made a quick mockup from scratch. My suggestion below gives a rendering similar to yours, with some spacing adjustment.
I defined the %nabla token as unicode character UxE142, and used that in place of the nabla operator which is badly rendered on my system. Anyway, creating a token for it makes it easier to also adjust size and spacing, but may also account for the increased space between the minus and nabla.
See this page for instructions on defining your own symbol tokens.
For some reason, inserting the symbol inline by %UxE142 does not work for me. Inline unicode insert works fine for other character codes.
You haven't given your formula definition, so I made a quick mockup from scratch. My suggestion below gives a rendering similar to yours, with some spacing adjustment.
Code: Select all
%rho left ( nospace{{partial v} over {partial t} + v ~ cdot {size*1.4 %nabla v}} right ) = nospace{size*1.4 {"-"%nabla}%rho + size*1.4 %nabla cdot T+f}See this page for instructions on defining your own symbol tokens.
For some reason, inserting the symbol inline by %UxE142 does not work for me. Inline unicode insert works fine for other character codes.
Re: Calculus formula in Math
Thanks very much for that. It works well
OpenOffice 4.1.5 on windows 10