problem ze znakiem + pokazuje sie *
problem ze znakiem + pokazuje sie *
Tak jak w temacie w czym ze w zapisie nie ma błędu, lecz przy wyświetleniu formuły widnieje * (kółko po środku czyli znak mnożenia a ma być +)
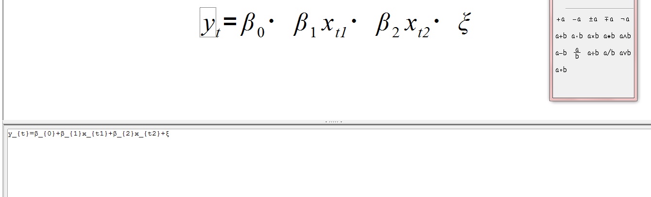
Może i to banalne, ale pierwszy raz korzystam z tego programu i wydaje mi się, że to akurat jest błąd programu a nie mojej notacji, bo wygląda następująco: (obrazek)
Może i to banalne, ale pierwszy raz korzystam z tego programu i wydaje mi się, że to akurat jest błąd programu a nie mojej notacji, bo wygląda następująco: (obrazek)
Ostatnio zmieniony wt kwie 27, 2010 5:57 pm przez Jan_J, łącznie zmieniany 1 raz.
Powód: ortografia (morze → może)
Powód: ortografia (morze → może)
OpenOffice 3.2, WINDOWS 7
Re: problem ze znakiem + pokazuje sie *
Notacja jest dobra (być może x_{t_1} zamiast x_{t1} byłoby właściwsze, ale nie znam kontekstu).
Układ fontu? toć + jest w ASCII, więc w każdym foncie w winien być tym samym miejscu!
Swoją drogą, jakiego fontu używasz w formułach?
Jak się nie uda wynaleźć przyczyny, podłącz plik z ,,błędem'' na forum. Zobaczy się.
Układ fontu? toć + jest w ASCII, więc w każdym foncie w winien być tym samym miejscu!
Swoją drogą, jakiego fontu używasz w formułach?
Jak się nie uda wynaleźć przyczyny, podłącz plik z ,,błędem'' na forum. Zobaczy się.
JJ
LO (25.2) ∙ Python (3.13|3.10) ∙ Unicode 16 ∙ LᴬTEX 2ε ∙ XML ∙ Unix tools ∙ Linux (Rocky|CentOS)
LO (25.2) ∙ Python (3.13|3.10) ∙ Unicode 16 ∙ LᴬTEX 2ε ∙ XML ∙ Unix tools ∙ Linux (Rocky|CentOS)
Re: problem ze znakiem + pokazuje sie *
Fonty sa poprawne bynajmniej ja nic nie zmieniałem a uruchomiłem go 1 raz pakiet w sumie 1 raz sciagnełem (posiadam aktualnie wersje portable)
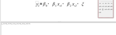
problem wyjasnie dokładniej w kolejnym obrazku ponizej:
problem wyjasnie dokładniej w kolejnym obrazku ponizej:
OpenOffice 3.2, WINDOWS 7
Re: problem ze znakiem + pokazuje sie *
Czy jak wstawisz nową formułę i wpiszesz tylko "a+b" to też jest źle?
OOo3.1.1 na Ubuntu 9.04
Re: problem ze znakiem + pokazuje sie *
Nie prosiłem o stwierdzenie, że "fonty są poprawne", tylko o informację dot. nazwy używanego fontu. Znajdziesz ją w menu Format/Czcionki podczas edycji formuł.
Nie prosiłem o obrazek z widokiem, tylko o plik. Wszelkie tego typu "okazy" są ciekawe, gdyż budują doświadczenie na przyszłość. Zaś z kodu dokumentu wyczyta się mnóstwo rzeczy, których na obrazku nie ma. Bo jaka jest przyczyna problemu -- to widać także w pierwszym załączniku.
Nie prosiłem o obrazek z widokiem, tylko o plik. Wszelkie tego typu "okazy" są ciekawe, gdyż budują doświadczenie na przyszłość. Zaś z kodu dokumentu wyczyta się mnóstwo rzeczy, których na obrazku nie ma. Bo jaka jest przyczyna problemu -- to widać także w pierwszym załączniku.
JJ
LO (25.2) ∙ Python (3.13|3.10) ∙ Unicode 16 ∙ LᴬTEX 2ε ∙ XML ∙ Unix tools ∙ Linux (Rocky|CentOS)
LO (25.2) ∙ Python (3.13|3.10) ∙ Unicode 16 ∙ LᴬTEX 2ε ∙ XML ∙ Unix tools ∙ Linux (Rocky|CentOS)
Re: problem ze znakiem + pokazuje sie *
Przepraszam! spieszy mi się z odpowiedzią i naprawa problemu
- Załączniki
-
- Ekonometria.zip
- Plik
- (5.98 KiB) Pobrany 367 razy
OpenOffice 3.2, WINDOWS 7
Re: problem ze znakiem + pokazuje sie *
mg2 pisze:Czy jak wstawisz nową formułę i wpiszesz tylko "a+b" to też jest źle?
dokładnie tez jest nadal problem
OpenOffice 3.2, WINDOWS 7
Re: problem ze znakiem + pokazuje sie *
W pliku jest wszystko dobrze. Są plusy tekstowe w kodzie MathML formuły i w adnotacji używanej podczas edycji.
Także w widoku podczas edycji (w. 3.2, Linux; w. 3.2 Portable, XP) wszystko jest dobrze.
Szukałbym przyczyny w podstawieniu brakujących fontów. Nie znam Windows 7.
Spróbuj zmienić font do formuł, np. z deklarowanego Timesa na DejaVu dostarczony wraz z OpenOffice.
Także w widoku podczas edycji (w. 3.2, Linux; w. 3.2 Portable, XP) wszystko jest dobrze.
Szukałbym przyczyny w podstawieniu brakujących fontów. Nie znam Windows 7.
Spróbuj zmienić font do formuł, np. z deklarowanego Timesa na DejaVu dostarczony wraz z OpenOffice.
JJ
LO (25.2) ∙ Python (3.13|3.10) ∙ Unicode 16 ∙ LᴬTEX 2ε ∙ XML ∙ Unix tools ∙ Linux (Rocky|CentOS)
LO (25.2) ∙ Python (3.13|3.10) ∙ Unicode 16 ∙ LᴬTEX 2ε ∙ XML ∙ Unix tools ∙ Linux (Rocky|CentOS)
Re: problem ze znakiem + pokazuje sie *
zmieniłem. najpierw każdą z osobna, potem wszystkie dalej bez skutku, bardzo dziwna sprawa ;/
Pomocy
Pomocy
OpenOffice 3.2, WINDOWS 7
Re: problem ze znakiem + pokazuje sie *
Wydaje mi sie ze to nie problem czcionek tylko definicji w nich zawartych czyli(znaków) co na razie jak dla mnie jest totalna głupotą jesli w tym by tkwił problem,
OpenOffice 3.2, WINDOWS 7
Re: problem ze znakiem + pokazuje sie *
Nie. W kodzie wewnątrz dokumentu jest dobrze. Wiem co mówię, to nie jest wrażenie z otwarcia pliku edytorem formuł.
JJ
LO (25.2) ∙ Python (3.13|3.10) ∙ Unicode 16 ∙ LᴬTEX 2ε ∙ XML ∙ Unix tools ∙ Linux (Rocky|CentOS)
LO (25.2) ∙ Python (3.13|3.10) ∙ Unicode 16 ∙ LᴬTEX 2ε ∙ XML ∙ Unix tools ∙ Linux (Rocky|CentOS)
Re: problem ze znakiem + pokazuje sie *
no ale wyświetlać powinien + i tylko o to mi chodzi
OpenOffice 3.2, WINDOWS 7